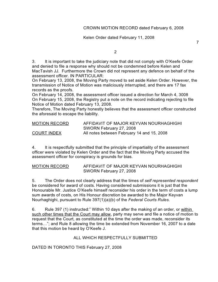
Motion For Reconsideration California Form
Motion For Reconsideration California Form - Critically, however, california rules of court, rule 8.108(e) extends the time to appeal only for valid reconsideration motions “under code of civil procedure. See below for more information. Web (g) an order denying a motion for reconsideration made pursuant to subdivision (a) is not separately appealable. The facts here are based on jack and jill’s fictional tumble down the hill. However, if the order that was the subject of a motion for reconsideration is appealable, the denial of the motion for reconsideration is reviewable as part of an appeal from that order. Web (e) this section specifies the court's jurisdiction with regard to applications for reconsideration of its orders and renewals of previous motions, and applies to all applications to reconsider any order of a judge or court, or for the renewal of a previous motion, whether the order deciding the previous matter or motion is interim or final. This is a sample pleading illustrating the format for a motion for reconsideration for a protection from abuse order. Web what is a motion for reconsideration in california? Web this sample california motion for reconsideration code of civil procedure section 1008(a) in california is filed under the provisions of code of civil procedure section 1008(a) on the grounds that new or different facts, circumstances or law justify reconsideration. Web kirkpatrick’s motion for reconsideration of the order denying her restraining order request qualifies as a renewed motion under code of civil procedure section 1008, subdivision (b).
This is a sample pleading illustrating the format for a motion for reconsideration for a protection from abuse order. Court of common pleas of sample county, pennsylvania. Web find your court forms; The motion must also include an affidavit with information about the original order and. Critically, however, california rules of court, rule 8.108(e) extends the time to appeal only for valid reconsideration motions “under code of civil procedure. The facts here are based on jack and jill’s fictional tumble down the hill. Web (g) an order denying a motion for reconsideration made pursuant to subdivision (a) is not separately appealable. Web kirkpatrick’s motion for reconsideration of the order denying her restraining order request qualifies as a renewed motion under code of civil procedure section 1008, subdivision (b). Web (e) this section specifies the court's jurisdiction with regard to applications for reconsideration of its orders and renewals of previous motions, and applies to all applications to reconsider any order of a judge or court, or for the renewal of a previous motion, whether the order deciding the previous matter or motion is interim or final. See below for more information.
See below for more information. The motion must also include an affidavit with information about the original order and. Web find your court forms; This is a sample pleading illustrating the format for a motion for reconsideration for a protection from abuse order. Web what is a motion for reconsideration in california? A motion for reconsideration in california is a legal process provided by section 1008 of the code of civil procedure that allows any party affected by a court order to seek reconsideration, modification, amendment, or vacation of prior orders. Critically, however, california rules of court, rule 8.108(e) extends the time to appeal only for valid reconsideration motions “under code of civil procedure. Court of common pleas of sample county, pennsylvania. Web you must file a motion for reconsideration within 10 days of being served with the written notice of entry of the order you want the court to reconsider. Web (e) this section specifies the court's jurisdiction with regard to applications for reconsideration of its orders and renewals of previous motions, and applies to all applications to reconsider any order of a judge or court, or for the renewal of a previous motion, whether the order deciding the previous matter or motion is interim or final.
Motion Reconsideration
See below for more information. The facts here are based on jack and jill’s fictional tumble down the hill. Web this sample california motion for reconsideration code of civil procedure section 1008(a) in california is filed under the provisions of code of civil procedure section 1008(a) on the grounds that new or different facts, circumstances or law justify reconsideration. Web.
Motion for reconsideration form Fill out & sign online DocHub
Critically, however, california rules of court, rule 8.108(e) extends the time to appeal only for valid reconsideration motions “under code of civil procedure. Web kirkpatrick’s motion for reconsideration of the order denying her restraining order request qualifies as a renewed motion under code of civil procedure section 1008, subdivision (b). Court of common pleas of sample county, pennsylvania. Web find.
Motion For Reconsideration, 11,550 Sanctions, 05CA7205, June182010
Web find your court forms; See below for more information. Web (e) this section specifies the court's jurisdiction with regard to applications for reconsideration of its orders and renewals of previous motions, and applies to all applications to reconsider any order of a judge or court, or for the renewal of a previous motion, whether the order deciding the previous.
Motion Reconsideration
Web what is a motion for reconsideration in california? Web kirkpatrick’s motion for reconsideration of the order denying her restraining order request qualifies as a renewed motion under code of civil procedure section 1008, subdivision (b). Court of common pleas of sample county, pennsylvania. Web (g) an order denying a motion for reconsideration made pursuant to subdivision (a) is not.
Motion for Reconsideration Legal Procedure Crimes
See below for more information. Web (g) an order denying a motion for reconsideration made pursuant to subdivision (a) is not separately appealable. The facts here are based on jack and jill’s fictional tumble down the hill. This is a sample pleading illustrating the format for a motion for reconsideration for a protection from abuse order. A motion for reconsideration.
Motion for reconsideration
The facts here are based on jack and jill’s fictional tumble down the hill. Court of common pleas of sample county, pennsylvania. Web this sample california motion for reconsideration code of civil procedure section 1008(a) in california is filed under the provisions of code of civil procedure section 1008(a) on the grounds that new or different facts, circumstances or law.
Write My Essays Today Memorandum 2017/10/10
However, if the order that was the subject of a motion for reconsideration is appealable, the denial of the motion for reconsideration is reviewable as part of an appeal from that order. See below for more information. Critically, however, california rules of court, rule 8.108(e) extends the time to appeal only for valid reconsideration motions “under code of civil procedure..
Motion For ReconsiderationExtension of Time PDF
Web this sample california motion for reconsideration code of civil procedure section 1008(a) in california is filed under the provisions of code of civil procedure section 1008(a) on the grounds that new or different facts, circumstances or law justify reconsideration. Web find your court forms; The motion must also include an affidavit with information about the original order and. See.
motion for reconsideration Interlocutory Appeal Lawsuit
Web (g) an order denying a motion for reconsideration made pursuant to subdivision (a) is not separately appealable. The motion must also include an affidavit with information about the original order and. Web what is a motion for reconsideration in california? This is a sample pleading illustrating the format for a motion for reconsideration for a protection from abuse order..
Plaintiffs' Motion For Reconsideration
Web what is a motion for reconsideration in california? This is a sample pleading illustrating the format for a motion for reconsideration for a protection from abuse order. See below for more information. However, if the order that was the subject of a motion for reconsideration is appealable, the denial of the motion for reconsideration is reviewable as part of.
The Motion Must Also Include An Affidavit With Information About The Original Order And.
Web find your court forms; Critically, however, california rules of court, rule 8.108(e) extends the time to appeal only for valid reconsideration motions “under code of civil procedure. However, if the order that was the subject of a motion for reconsideration is appealable, the denial of the motion for reconsideration is reviewable as part of an appeal from that order. This is a sample pleading illustrating the format for a motion for reconsideration for a protection from abuse order.
A Motion For Reconsideration In California Is A Legal Process Provided By Section 1008 Of The Code Of Civil Procedure That Allows Any Party Affected By A Court Order To Seek Reconsideration, Modification, Amendment, Or Vacation Of Prior Orders.
Court of common pleas of sample county, pennsylvania. See below for more information. Web (g) an order denying a motion for reconsideration made pursuant to subdivision (a) is not separately appealable. Web kirkpatrick’s motion for reconsideration of the order denying her restraining order request qualifies as a renewed motion under code of civil procedure section 1008, subdivision (b).
Web (E) This Section Specifies The Court's Jurisdiction With Regard To Applications For Reconsideration Of Its Orders And Renewals Of Previous Motions, And Applies To All Applications To Reconsider Any Order Of A Judge Or Court, Or For The Renewal Of A Previous Motion, Whether The Order Deciding The Previous Matter Or Motion Is Interim Or Final.
Web this sample california motion for reconsideration code of civil procedure section 1008(a) in california is filed under the provisions of code of civil procedure section 1008(a) on the grounds that new or different facts, circumstances or law justify reconsideration. The facts here are based on jack and jill’s fictional tumble down the hill. Web you must file a motion for reconsideration within 10 days of being served with the written notice of entry of the order you want the court to reconsider. Web what is a motion for reconsideration in california?




